根据教育部《普通高等学校学生管理规定》及学校相关政策,研究生课程成绩单保留全部课程考核成绩记录并存档。按此要求,研究生院全面升级自助打印终端系统,已于近期完成第一阶段部署并试运行,现将相关注意事项及细则说明如下:
一、 成绩单
根据各年级研究生培养方案及学校教务系统运行机制,研究生课程成绩单按课程编码(课程唯一标识)列出各课程成绩,若存在多条同一课程编码的记录,成绩单中仅列出该课程的最高成绩记录;升级后的成绩单提供平均加权学分绩点(Grade-Point Average, GPA),计算规则如下:
1. 百分制与绩点(权重)对应关系
百分制成绩 |
绩点(权重)W |
100~86 |
4 |
85~81 |
3.7 |
80~77 |
3.3 |
76~73 |
3 |
72~69 |
2.5 |
68~65 |
2 |
64~60 |
1 |
59~0 |
0 |
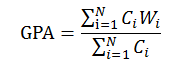
2. 平均加权学分绩点计算办法

其中,Ci与Wi分别为单科课程学分、单科课程百分制成绩对应的绩点;N为参与GPA计算的百分制课程总数。
研究生GPA计算过程中,二分制课程(成绩为通过或不通过)以及未及格(59分及以下)的选修课不参与GPA计算,其它百分制课程全部参与计算。
3. 平均加权学分绩点与学位课平均成绩
本说明上述“1.”与“2.”两处规定的平均加权学分绩点与《bevictor伟德研究生工作手册》中的学位课平均成绩(学位课平均分)不同,后者主要适用于开题与中期考核;奖学金评定等其它需要成绩单的场合,适用标准与衡量办法由相关主管部门或教学单位决定并解释。
二、自助打印终端相关说明
1. 使用地点
学校现有新、旧研究生自助打印终端共3台,分别部署于敦品楼201(1旧)、瀚学楼1层大厅(1新)与励学楼2层大厅(1新)。新、旧机外观分别如下图所示。

新机外观 旧机外观
上方左图为新机外观,新机试运行时屏幕上以“研究生”字样进行标识,以区别本科生自助打印终端;上方右图为旧机外观,与其它自助终端有显著差别。
2. 注意事项
(1)自助打印终端升级第一阶段为新、旧机交替时期。目前二者具有一定区别:新机为完全升级后试运行状态,旧机软件系统未完成升级;新机提供带有GPA的中、英文成绩单(GPA部分见下图),旧机在升级全部完成前仍提供旧版本成绩单(无GPA),其它文档仅存在排版差异。

成绩单下方显示GPA及其计算规则
(2)旧机软件系统升级与正式运行将不再另行通知,学生可根据机器状态选择可用的自助打印终端。升级工作全部结束后,不再提供旧版成绩单。
(3)新、旧机交替运行期间,若打印文档无公章,可于敦品楼201加盖相应公章。
(4)自助打印终端提供的文档包括:中、英文版本的成绩单、研究生在读证明,中文学历证明(用于证明学历与学位),英文学历、学位证明,应届生证明,北京高校非北京户籍大学生在学证明(打印后于敦品楼201签字)以及大学英语四、六级考试身份证明。目前成绩单用纸为专用防伪纸,研究生在校期间免费用纸8张/人。
(5)带有GPA的成绩单模版可见研究生院网站,做备份使用。链接:http:/info/1165/1331.htm。
(6)自助打印终端校内维护电话:88802331。
研究生院
2021年12月30日